MetaPlanet just 5% away from restarting share sales for bitcoin buying
MetaPlanet (3350), Asia's largest corporate holder of bitcoin (BTC), rose to within 5% of the price that triggers renewed share sales to fund further purchases of the largest cryptocurrency.
Stock of the Tokyo-based company rose 15% on Wednesday to 605 yen ($3.8), close to the 637 yen level that reactivates its so-called moving strike warrant (MSW) program after a pause designed to protect shareholders during the 80% slide from its June all-time high.
Selling shares at that point would have risked diluting shareholders' stakes rather than adding value, as the ratio of the company's enterprise value to its bitcoin holdings, the multiple to net asset value (mNAV), fell below 1. That's now climbed to 1.36, its highest level since October. The company currently holds 35,102 bitcoin on its balance sheet, making it the fourth-largest publicly traded corporate holder worldwide.
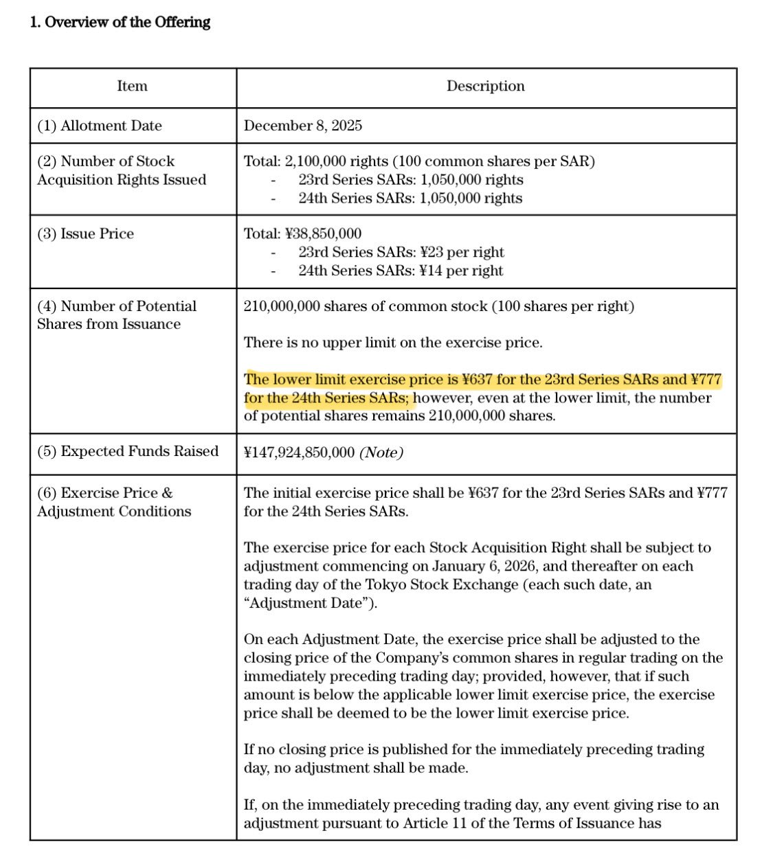
The latest program has two tranches, the 23rd and 24th series of stock-acquisition rights issued to EVO Fund in December 2025. Together, they represent up to 210 million potential new shares, split evenly between the two series.

The 23rd series carries a lower limit exercise price of 637 yen. Once the stock’s adjusted closing price reaches that level, EVO is permitted to exercise warrants and sell up to 105 million newly issued shares. The capital raise would most likely directed into bitcoin purchases.
The 24th series has a floor of 777 yen. If that threshold is reached, another 105 million shares can be issued, unlocking more capital.
With the share price now up 90% from December lows, MetaPlanet is nearing the point where issuance becomes accretive again.






